In our role as a dedicated manufacturer of high-quality fragrance blends for electronic liquids, we at [Your Company] recognise that the global regulatory, toxicological and product-safety landscape for vape flavourings demands a robust, actionable risk assessment model. This blog post—“A Practical Risk Assessment Model for Vape Flavorings”—is crafted with full awareness of user intent, providing a clear, authoritative and structured exposition of how flavour houses and e-liquid formulators can integrate risk assessment into their development workflows, compliant manufacturing, and internal decision-making.
Our objective: to enable you (whether you are a flavour-supplier, e-liquid blender or downstream OEM) to implement a pragmatic, science-based risk model for flavouring ingredients—particularly for use in e-liquids—including screening, hazard identification, exposure assessment, risk characterisation, mitigation and lifecycle review.
Because we also manufacture and supply fragrance blends (including bespoke vape-grade flavourings) we believe in transparency, proactive compliance and continuous improvement. We hope this post will serve as a cornerstone resource for your technical teams and your supply-chain partners.
Below we walk through the full 6-stage model: 1) framing & scope, 2) hazard identification, 3) exposure assessment, 4) risk characterisation, 5) mitigation & control strategies, and 6) review & continuous monitoring. Along the way we refer to key regulatory frameworks, peer-reviewed literature and best practices, with citations to credible sources. At the end you also get a call-to-action for technical exchange or free-sample discussion.
1. Framing the Risk Assessment Model: Scope, Purpose & Context
Before diving into hazard lists or toxicology assays, the first step is to define why this model exists, what it covers, who uses it, and how it integrates into your flavouring development lifecycle.
1.1 Why a risk-assessment model for flavourings in e-liquids
E-liquids and vape flavourings present unique challenges: inhalation exposure (rather than ingestion only), complex mixtures, thermal generation of new compounds, and evolving regulatory scrutiny.
The regulatory environment in major jurisdictions (such as the U.S. Food & Drug Administration) emphasises ingredient control, flavouring safety and constituent review.
Academic and industry literature reveal that flavouring chemicals — even those “generally recognised as safe” for ingestion — may pose hazards when aerosolised/inhaled or when combined with other substances.
As a flavour supplier, you have a duty not only to craft desirable sensory experiences, but also to ensure product safety, regulatory compliance, supply-chain transparency and market-readiness. This systematic model helps you make informed decisions and document your due diligence.
1.2 What the model covers
This risk-assessment model addresses flavouring ingredients used in e-liquid manufacture (or other aerosolised applications). It does not cover device batteries, heating coils, packaging mechanical failure, or consumer behavioural misuse (though we note these in passing). Instead, the model concentrates on:
chemical flavouring compounds (and mixtures) used in e-liquids
their hazard potential (intrinsic toxicity, inhalation risk, thermal decomposition)
ongoing monitoring, including supply-chain changes or new regulatory data.
1.3 Who uses the model & how to integrate
You should ensure that the following internal stakeholders are aligned: formulation chemists, flavour R&D teams, regulatory & compliance staff, quality assurance/quality control (QA/QC), and supply-chain procurement. The model should integrate into your flavour-design workflow as follows:
During flavour concept and screening phase: initial hazard screen
During formulation selection: exposure modelling & risk characterisation
Pre-launch: mitigation check-list, documentation of controls
Post-launch: review of new data, consumer reports, regulatory updates.
By establishing this model early, you create repeatable, auditable steps, which can help with regulatory submissions, customer audits, and internal quality systems.
2. Hazard Identification: Recognising the Potential Harm
Once the scope is defined, the next step is to identify hazards associated with flavouring ingredients used in vape applications. This means cataloguing what might go wrong—even if the probability is low—and documenting the intrinsic toxicity or other hazard properties.
2.1 What is hazard identification?
In toxicological risk assessment, hazard identification involves asking: which flavouring chemicals might cause harm under what conditions? This step is independent of exposure. It focuses on intrinsic properties of substances: e.g., cytotoxicity, respiratory sensitisation, inhalation toxicity, thermal decomposition to harmful by-products.
For inhaled aerosols (as opposed to ingestion), the hazard identification step must reflect the route of exposure. Many flavourings have food-safe status (e.g., GRAS in the U.S.), but that does not automatically equate to inhalation safety.
2.2 Key hazard categories for flavourings in e-liquids
Some of the principal hazard categories to consider:
Respiratory toxicity: Some flavouring chemicals—especially diacetyl, 2,3-pentanedione (used in buttery/baked flavour notes)—have been linked to lung injury in occupational inhalation settings.
Cytotoxicity / cellular effects: Recent studies show that flavouring chemicals can reduce cell viability or induce oxidative stress when aerosolised or in vitro exposed to lung epithelial cells.
Sensitisation / allergenicity: Some aldehydes or essential-oil derived flavour chemicals may trigger respiratory sensitisation or skin contact reactions.
Thermal decomposition by-products: When the e-liquid is heated in the device, flavouring compounds may degrade or react to form new by-products (e.g., aldehydes) with higher toxicity.
Purity and contaminants: Impurities, isomeric forms, non-food-grade flavouring reagents or unintended trace contaminants (such as heavy metals in solvents) become hazard inputs. For example, the hazard assessment in New Zealand flagged that flavourings may be attractive to children and thereby increase ingestion risk.
Mixture effects: While each flavouring ingredient may have acceptable hazard profiles individually, the combined effect (especially under heating and inhalation) may differ; synergy or cumulative effects must be considered.
2.3 Documenting hazard information
For each flavour ingredient (or flavour-blend candidate), create a hazard dossier that includes:
Chemical name, CAS number, source supplier, purity grade
Intended use concentration (in e-liquid) and functional role (e.g., fruity top note)
Available toxicology data: inhalation toxicity, skin/eye irritation, respiratory sensitisation, cytotoxicity studies, thermal degradation data
Food-grade status (e.g., GRAS, FGE) and any caveats for inhalation route
Known or potential hazard flags (e.g., diketones, aldehydes, halogenated aromatics)
Thermal behaviour/boiling point/evaporation behaviour if known
Any regulatory alerts or banned list membership (e.g., flavourings restricted in certain jurisdictions)
By the end of hazard identification, you should clearly flag which ingredients are high-concern, moderate-concern, or low-concern from a hazard standpoint. This classification will feed into exposure and risk characterisation.
3. Exposure Assessment: How Much, How Often, and How?
With hazards identified, the next question is: what is the actual exposure to that hazard? In the context of vape flavourings, exposure modelling must reflect inhalation, but may also consider accidental ingestion (child exploration), dermal contact, and device misuse.
3.1 Defining exposure scenarios
Important exposure routes and scenarios for e-liquid flavourings include:
Intended inhalation by product users: Regular use of e-liquid in vapour form; amount per puff, puffs per day, concentration of flavouring compound in e-liquid.
Chronic exposure by the same user: Repeated daily use over weeks/months; flavourings that accumulate or degrade into secondary compounds.
Accidental ingestion (especially child exposure): Flavouring chemicals may increase e-liquid attractiveness to children; ingestion exposure needs modelling (e.g., mg/kg body-weight).
Dermal exposure or spillage: Skin contact with e-liquid or flavouring concentrate (especially high-concentration flavouring blends)
Thermal generation/exposure to by-products: Exposure to decomposition products (e.g., reactive aldehydes) generated during device use.
Occupational exposure (manufacturing environment): Lab/production staff inhalation or dermal exposure to concentrates and aerosolised flavouring.
3.2 Quantifying exposure – key parameters
To perform quantitative (or semi-quantitative) exposure assessment, gather the following parameters:
Concentration (C)of flavouring chemical in the e-liquid (mg/mL or mg/kg)
Volume (V)of e-liquid consumed or aerosolised per session or per day (mL/day)
Inhalation factor / deposition fraction: what proportion of the flavouring compound becomes aerosol and is inhaled vs. lost in device, retention etc.
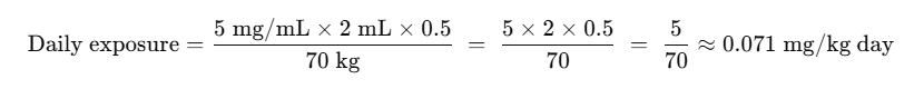
Let’s say you are formulating a blend where flavouring component X is used at 5 mg/mL in the e-liquid. A typical user consumes 2 mL/day of that e-liquid. Assuming an inhalation absorption fraction of, say, 50% (0.5), and body-weight of 70 kg:
You then compare this to a reference value (e.g., no-observed-adverse-effect level (NOAEL) adjusted) from toxicology to see margin of exposure.
3.4 Considerations specific to flavourings and aerosol route
In many cases, inhalation toxicology data for specific flavouring compounds are lacking; you may rely on surrogate data or food-ingestion data (with caveats).
Thermal effects may generate new compounds; you must assess whether the original flavouring is stable under vaping conditions (e.g., temperature, coil type, carrier matrix).
Cumulative exposure: some flavourings may have additive effects, or share metabolic pathways—so exposure modelling must consider total flavour load, not just single compound.
Consumer variability: different users have different puff profiles, device types, power settings; so scenario modelling should include “typical user”, “high-end user”, and “worst-case user”.
Susceptible populations: children, pregnant women (if relevant), persons with lung disease may have altered absorption/response—document whether your product is for adult use only and how you manage that.
4. Risk Characterisation: Integrating Hazard and Exposure
Six-Step Risk Assessment Model
After hazard identification and exposure assessment, we move to risk characterisation: the process of evaluating the likelihood and severity of adverse effects under the defined exposure scenarios—and then determining whether risk is acceptable, tolerable (with controls) or unacceptable.
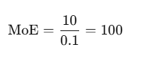
4.1 Margin of Exposure (MoE) and other metrics
A common risk metric is the Margin of Exposure (MoE):
A high MoE suggests lower risk; a low MoE (e.g., < 100 or < 10, depending on uncertainty) suggests higher risk and may trigger mitigation.
Because inhalation data are often limited, you may need to apply additional uncertainty factors (UF). For example, if you only have oral NOAEL, apply inhalation conversion, inter-species UF, database UF, etc.
4.2 Decision criteria: Acceptable vs. Controlled vs. Unacceptable
Define internal thresholds:
Acceptable risk: MoE above internal threshold, no identified hazard flags, and exposure well below reference level. Proceed with use.
Controlled risk: MoE near threshold or moderately low; hazard flags present; proceed only with controls (lower concentration, alternative flavouring, restricted end-use, enhanced QA).
Unacceptable risk: MoE too low, hazard strongly flagged (e.g., known pulmonary sensitiser), no feasible mitigation; reject ingredient or reformulate.
4.3 Example of risk characterisation for a flavouring ingredient
Suppose flavouring compound Y has a NOAEL for inhalation in rodents of 10 mg/kg-day. You estimate human daily exposure at 0.1 mg/kg-day (via user dose modelling). Then:
If your internal threshold for vaping-use flavourings is MoE ≥ 300 (because inhalation route, consumer variability, long-term use, aerosol transformation uncertainty), then MoE = 100 triggers “controlled risk”: you may accept usage only if you lower concentration, add additional controls, or select a less-risky alternative.
4.4 Additional factors to integrate into characterisation
Cumulative exposureto multiple flavourings of similar hazard class (e.g., multiple aldehydes)
By-product formation: Flavouring may degrade during heating to a more hazardous chemical; if you know a flavouring generates unacceptable by-products, risk may escalate even if the parent MoE is acceptable.
Device influence: Power settings, coil resistance, e-liquid carrier ratio (PG/VG) may influence aerosol profile and inhalation dose.
User variability & misuse: High user puffing, deep inhalation, sub-ohm devices may increase exposure.
Vulnerable populations: If your product is used by persons with respiratory issues, or long-term heavy users, you may adopt more conservative thresholds.
4.5 Summary of risk characterisation workflow
For each flavouring candidate, compute estimated exposure under defined scenarios (typical, high-use).
Compare exposure to reference toxicology values; compute MoE or equivalent metric.
Flag hazard concerns: known sensitiser, diketone presence, thermal degradation risk.
Classify risk as acceptable / controlled / unacceptable.
Document decision rationale and required controls (if any).
Feed back into formulation decisions (reduce concentration, switch flavouring, adjust device guidance) and supply-chain documentation.
5. Mitigation & Control: Strategies to Reduce and Manage Risk
Having characterised risk, the next practical step is mitigating and controlling it. This is where flavour designers, manufacturers and downstream e-liquid producers can implement concrete steps to reduce likelihood or severity of adverse effects, and to ensure regulatory and market readiness.
5.1 Pre-emptive formulation controls
Select lower-risk flavouring alternatives: If a flavouring candidate contains diketones (e.g., diacetyl) or known respiratory sensitising aldehydes, choose an alternative with fewer hazard flags. For example, some literature advocates a restrictive list of flavourings for vape applications.
Limit concentration: Use only the minimum functional concentration needed to achieve sensory target rather than maximising flavour loading.
Characterise thermal stability: Evaluate how the flavouring behaves under heating (device relevant temperatures) and whether harmful by-products form; consider GC-MS or other analytics to verify.
Carrier optimisation: Consider that the PG/VG ratio, other additives (nicotine salts, acidifiers) may influence aerosolisation and chemical reactivity; co-design flavour blend accordingly.
5.2 Manufacturing controls & quality assurance
Use flavour-grade or vapour-grade ingredients: Ensure highest purity and lowest impurity levels; monitor for heavy metals, residual solvents, undesired isomers.
Supplier auditing & documentation: Engage MRL (Maximum Residue Limit) checks, certificate of analysis (CoA), traceability of flavouring chemicals.
Batch testing and stability: Validate that flavouring performance and safety profile remain stable over shelf-life (storage, light, heat).
Device compatibility verification: While primarily the device manufacturer’s responsibility, ensure your flavour blend is tested in typical devices to verify aerosol profile and absence of deleterious by-products.
5.3 Labelling, user instructions and end-use guidance
Clearly state intended use (e.g., “for adult use only”), concentration limits, storage recommendations (away from children), and compatibility warnings (coil type, power settings).
Include QA and traceability information to support downstream customers.
Recommend device settings (e.g., avoid ultra-high power that may increase aerosol temperature and by-product formation) and maintenance (coil change frequency) to end-users / OEM partners.
5.4 Post-market surveillance and incident management
Maintain a system for collecting consumer feedback, adverse-event reports or quality complaints related to aerosol flavouring.
Establish protocols for investigating any incidents potentially related to flavouring (e.g., unusual throat irritation, device failure, aerosol smell/colour change).
Set trigger thresholds for when to re-evaluate a flavouring (e.g., when new toxicology data emerges, regulatory update, or significant consumer report frequency).
Document corrective-action procedures: reformulate flavour, withdraw ingredient, adjust use levels, update user guidance.
6. Review & Continuous Monitoring: Ensuring Ongoing Compliance and Improvement
A risk-assessment model is not a one-time document; it must be living, subject to review and update as data, technology and regulations evolve.
6.1 Periodic reassessment
At defined intervals (e.g., annually) revisit the hazard dossiers: has new inhalation toxicology data emerged for a flavouring compound?
Check user behaviour trends: changes in demographics, puffing patterns, new flavours that increase use frequency?
Evaluate regulatory changes: new flavour bans, updated maximum limits, new inhalation safety guidelines (for example, see regulatory attention to flavour restrictions).
6.2 Data-management and documentation
Maintain a central “flavour-safety master file” that tracks for each flavouring/ingredient:
Hazard dossier details
Exposure modelling parameters and results
MoE or risk classification decision and any controls implemented
Manufacturing batch records, QA/CoA documentation
Post-market feedback, incident logs
Review date and next-review scheduled date
Such documentation is essential for internal audits, customer queries, regulatory inspections and due-diligence supply-chain transparency.
6.3 Continuous improvement and innovation
Invest in generating internal data: aerosol chemistry of your flavour blends in key device types, measurement of by-products, user-exposure studies (where feasible).
Explore safer flavouring ingredients and blends: push for inhalation-appropriate flavouring chemistry, not just ingestion-food grade.
Collaborate with research institutions, industry associations and regulatory bodies to stay ahead of emerging issues (e.g., thermal degradation chemistry, long-term inhalation toxicology of new flavouring classes).
Use the risk-assessment model to support marketing claims (e.g., “safer flavouring formulation”, “engineered for reduced aerosol by-products”), as long as claims are substantiated and compliant.
Here are the title and SEO elements for the image:
7. Putting It All Together: Model Workflow Summary
Here is a step-by-step recap of how you can implement the Practical Risk Assessment Model in your flavour-development process:
Decision-gate: Only when risk classification is within acceptable/controlled (with controls) may the flavouring be released for use; otherwise re-formulation or elimination is required.
8. Case Study (Anonymous)
To illustrate the model in action, consider a hypothetical flavour-blend development scenario:
Scenario: You intend to launch a “Tropical Fruit & Cream” flavour for a 50/50 PG/VG salt-nicotine system.
Step 1: Scope
Target consumer: adult vaper, up to 2 mL/day consumption.
Device: pod-system at 20W.
Jurisdictions: EU and US.
Step 2: Hazard identification
Flavouring includes an ester (ethyl butyrate), a lactone (γ-octalactone), and a vanilla derivative (vanillin). Literature shows vanillin and ethyl maltol (similar class) exhibit cytotoxicity under inhalation exposure.
None of the ingredients is on known banned lists, but vanillin may degrade to more reactive aldehydes at high temperature.
Six-month review: check if any new inhalation toxicology data emerged for similar lactones.
Update dossier accordingly; if consumer use rises (e.g., 3 mL/day), repeat exposure modelling.
By following this workflow, you achieve a documented, defensible process for risk assessment of your flavour blend.
9. Benefits and Business Value of the Model
Adopting this risk-assessment model offers notable advantages for flavour-manufacturers and e-liquid formulators:
Enhanced regulatory readiness: You build structured dossiers aligning with regulatory bodies such as the FDA (which regulates e-liquid flavourings as part of components of ENDS)
Reduced liability and improved safety: Systematic hazard screening and exposure modelling help avoid introducing flavourings with unacceptable risk.
Supply-chain transparency: By documenting flavouring hazard/exposure profiles and control measures, you improve customer confidence and auditability.
Competitive advantage: Fragrance suppliers who demonstrate robust safety assessment are perceived as premium, lower-risk partners by e-liquid manufacturers and retailers.
Innovation enablement: With a structured model, you can more rapidly assess new flavour-chemistry opportunities, minimise time-to-market while maintaining safety standards.
10. Summary & Key Take-aways
A dedicated risk-assessment model for vape flavourings is essential in today’s regulatory and consumer-safety environment.
The model comprises six stages: scope → hazard identification → exposure assessment → risk characterisation → mitigation & control → review & monitoring.
Flavouring ingredients may pose inhalation risks that differ from their food‐grade (ingestion) status; professional due diligence is required.
Exposure modelling must reflect realistic use scenarios; inhalation route demands specific attention.
Continuous monitoring ensures you stay ahead of changes in device tech, user behaviour or regulatory updates.
For flavour suppliers and e-liquid manufacturers alike, this model strengthens product safety, regulatory compliance and commercial viability.
CUIGUAI Flavoring Bottles
Call to Action
If you’d like to discuss technical exchange, free-sample evaluation, or review how our fragrance-house can support your e-liquid projects with fully qualified, inhalation-appropriate flavouring blends—please contact us.
We look forward to collaborating with forward-thinking partners in the e-liquid flavour sector.
For a long time, the company has been committed to helping customers improve product grades and flavor quality, reduce production costs, and customize samples to meet the production and processing needs of different food industries.
Room 701, Building C, No. 16, East 1st Road, Binyong Nange, Daojiao Town, Dongguan City, Guangdong Province
ABOUT US
The business scope includes licensed projects: food additive production. General projects: sales of food additives; manufacturing of daily chemical products; sales of daily chemical products; technical services, technology development, technical consultation, technology exchange, technology transfer, and technology promotion; biological feed research and development; industrial enzyme preparation research and development; cosmetics wholesale; domestic trading agency; sales of sanitary products and disposable medical supplies; retail of kitchenware, sanitary ware and daily sundries; sales of daily necessities; food sales (only sales of pre-packaged food).