English中文(简体)FrançaisEspañolالعربيةРусскийPortuguês

联系我们

  • Guangdong Unique Flavor Co., Ltd.
  • +86 18929267983info@cuiguai.com
  • 广东省东莞市道滘镇滨永南阁东一路16号C栋701室
  • 立即获取样品

    电子烟香料的实用风险评估模型

    作者:研发团队,CUIGUAI Flavoring

    发表者:Guangdong Unique Flavor Co., Ltd.

    上次更新:2025 年 11 月 5 日

    专业实验室场景,描绘技术人员使用先进的 GC-MS 或 LC-MS 仪器对电子烟油或电子烟调味成分进行风险评估。该图像强调了小瓶、分析屏幕和移液器的科学可信度,传达了电子烟产品开发中对分析精度和安全性的关注。

    电子烟调味品风险评估实验室

    介绍

    作为电子液体高品质香料混合物的专业制造商,我们[您的公司]认识到电子烟香料的全球监管、毒理学和产品安全形势需要一个强大的、可操作的风险评估模型。这篇博文——“电子烟调味品的实用风险评估模型”— 充分了解用户意图,以清晰、权威和结构化的方式阐述香料公司和电子烟油配方设计师如何将风险评估整合到其开发工作流程、合规制造和内部决策中。

    我们的目标:使您(无论您是香料供应商、电子烟油混合商还是下游 OEM)能够针对香料成分(尤其是用于电子烟油的香料成分)实施务实的、基于科学的风险模型,包括筛选、危害识别、暴露评估、风险特征描述、缓解和生命周期审查。

    因为我们还生产和供应香料混合物(包括定制的电子烟级香料),所以我们相信透明度、主动合规性和持续改进。我们希望这篇文章能够成为您的技术团队和供应链合作伙伴的基础资源。

    下面我们将介绍完整的 6 阶段模型:1) 框架和范围,2) 危害识别,3) 暴露评估,4) 风险特征描述,5) 缓解和控制策略,以及 6) 审查和持续监控。在此过程中,我们参考了关键的监管框架、同行评审的文献和最佳实践,并引用了可靠的来源。最后,您还会收到技术交流或免费样品讨论的号召性用语。

    1. 构建风险评估模型:范围、目的和背景

    在深入研究危险清单或毒理学分析之前,第一步是定义为什么这个模型存在,什么它涵盖,WHO使用它,并且如何它集成到您​​的调味品开发生命周期中。

    1.1 为什么需要电子烟油调味剂的风险评估模型

    • 电子烟液和电子烟调味品面临着独特的挑战:吸入暴露(而不仅仅是摄入)、复杂的混合物、新化合物的热生成以及不断发展的监管审查。
    • 主要司法管辖区(例如美国食品和药物管理局)的监管环境强调成分控制、调味品安全和成分审查。
    • 学术和行业文献表明,调味化学品——即使是那些“普遍认为可以安全”摄入的化学物质——在雾化/吸入或与其他物质结合时可能会造成危险。
    • 作为香精供应商,您不仅有责任打造理想的感官体验,还有责任确保产品安全、合规性、供应链透明度和市场准备情况。该系统模型可帮助您做出明智的决策并记录您的尽职调查。

    1.2 模型涵盖的内容

    该风险评估模型解决了调味成分用于电子液体制造(或其他雾化应用)。确实如此不是涵盖设备电池、加热线圈、包装机械故障或消费者行为误用(尽管我们顺便指出了这些)。相反,该模型专注于:

    • 电子烟液中使用的化学调味化合物(和混合物)
    • 它们的潜在危险(内在毒性、吸入风险、热分解)
    • 暴露场景(吸入剂量、长期使用、产品寿命)
    • 风险缓解(配方设计、纯度控制、预筛选)
    • 持续监控,包括供应链变化或新的监管数据。

    1.3 谁使用该模型以及如何集成

    您应确保以下内部利益相关者保持一致:配方化学家、风味研发团队、监管与合规人员、质量保证/质量控制 (QA/QC) 以及供应链采购。该模型应集成到您的风味设计工作流程中,如下所示:

    • 在风味概念和筛选阶段:初始危害筛选
    • 配方选择期间:暴露建模和风险表征
    • 启动前:缓解检查表、控制文档
    • 发布后:审查新数据、消费者报告、监管更新。

    通过尽早建立此模型,您可以创建可重复、可审核的步骤,这有助于监管提交、客户审核和内部质量体系。

    2. 危害识别:识别潜在危害

    范围确定后,下一步就是识别危险与 vape 应用中使用的调味成分相关。这意味着对可能出现问题的情况进行分类(即使可能性很低)并记录内在毒性或其他危险特性。

    2.1 什么是危险识别?

    在毒理学风险评估中,危害识别涉及询问:哪种调味化学品可能造成伤害在下面什么条件?此步骤与曝光无关。它专注于内在属性物质的影响:例如细胞毒性、呼吸道致敏性、吸入毒性、热分解产生有害副产物。

    对于吸入气溶胶(与摄入相反),危险识别步骤必须反映暴露途径。许多调味品具有食品安全状态(例如美国的 GRAS),但这确实不是自动等同于吸入安全。

    2.2 电子烟油中香料的主要危险类别

    需要考虑的一些主要危险类别:

    • 呼吸道毒性:一些调味化学品,尤其是二乙酰 2,3-戊二酮(用于黄油/烘焙风味香精),已与职业吸入环境中的肺损伤有关。
    • 细胞毒性/细胞效应:最近的研究表明,当调味化学品雾化或在体外暴露于肺上皮细胞时,会降低细胞活力或诱导氧化应激。
    • 致敏/过敏性:一些醛类或精油衍生的香料化学物质可能会引发呼吸道过敏或皮肤接触反应。
    • 热分解副产物:当电子烟液在设备中加热时,调味化合物可能会降解或发生反应,形成具有更高毒性的新副产品(例如醛)。
    • 纯度和污染物:杂质、异构体、非食品级调味剂或非预期微量污染物(例如溶剂中的重金属)会成为危险输入。例如,新西兰的危害评估指出,调味品可能对儿童有吸引力,从而增加摄入风险。
    • 混合效果:虽然每种调味成分单独可能具有可接受的危害特征,但综合效果(尤其是在加热和吸入的情况下)可能会有所不同;必须考虑协同效应或累积效应。

    2.3 记录危险信息

    对于每种风味成分(或候选风味混合物),创建一份危险档案,其中包括:

    • 化学名称、CAS 编号、来源供应商、纯度等级
    • 预期使用浓度(在电子烟液中)和功能作用(例如果味前调)
    • 可用毒理学数据:吸入毒性、皮肤/眼睛刺激、呼吸道过敏、细胞毒性研究、热降解数据
    • 食品级状态(例如 GRAS、FGE)以及吸入途径的任何注意事项
    • 已知或潜在的危险标志(例如二酮、醛、卤代芳烃)
    • 热行为/沸点/蒸发行为(如果已知)
    • 任何监管警报或禁止名单成员资格(例如,某些司法管辖区限制的调味品)

    在危险识别结束时,您应该清楚地标记哪些成分是高度关注, 中等关注, 或者低关注度从危险的角度来看。这种分类将纳入暴露和风险特征描述中。

    3. 暴露评估:多少、多久一次以及如何?

    确定了危险后,下一个问题是:实际曝光量是多少到那个危险?在电子烟调味品的背景下,暴露模型必须反映吸入,但也可能考虑意外摄入(儿童探索)、皮肤接触和设备误用。

    3.1 定义暴露场景

    电子烟油香料的重要暴露途径和场景包括:

    • 产品使用者的预期吸入:经常使用蒸气形式的电子液体;每次抽吸量、每天抽吸次数、电子烟液中调味化合物的浓度。
    • 同一用户长期暴露:每天重复使用数周/数月;积累或降解成次级化合物的调味品。
    • 意外摄入(尤其是儿童接触):调味化学品可能会增加电子烟油对儿童的吸引力;摄入暴露需要建模(例如,毫克/千克体重)。
    • 皮肤接触或溢出:皮肤接触电子烟液或调味浓缩物(尤其是高浓度调味混合物)
    • 产生热量/接触副产品:暴露于设备使用过程中产生的分解产物(例如活性醛)。
    • 职业暴露(制造环境):实验室/生产人员吸入或皮肤接触浓缩物和雾化调味剂。

    3.2 量化暴露——关键参数

    要执行定量(或半定量)暴露评估,请收集以下参数:

    • 浓度(C)电子烟液中调味化学品的含量(mg/mL 或 mg/kg)
    • 体积(V)每次或每天消耗或雾化的电子烟液量(毫升/天)
    • 吸入因子/沉积分数:调味化合物形成气雾剂并被吸入的比例是多少,与在装置中损失、保留等的比例是多少。
    • 吸收/生物利用度用于吸入途径(通常数据有限)
    • 体重(BW)用户的(对于 mg/kg 暴露模型)
    • 持续时间和频率: 抽吸次数/天或天/年
    • 热转换系数:产生降解产物的因素(如果数据存在)

    典型的暴露计算(摄入或吸入)可能是:

    其中 Fabs 是吸收分数。该框架记录在新西兰电子烟液危害评估中。

    3.3 实例:吸入暴露建模

    Let’s say you are formulating a blend where flavouring component X is used at 5 mg/mL in the e-liquid. A typical user consumes 2 mL/day of that e-liquid. Assuming an inhalation absorption fraction of, say, 50% (0.5), and body-weight of 70 kg:

    然后,您可以将其与毒理学的参考值(例如,调整后的未观察到的不良反应水平 (NOAEL))进行比较,以了解暴露范围。

    3.4 针对调味剂和气雾剂途径的具体考虑因素

    • 在许多情况下,缺乏特定调味化合物的吸入毒理学数据;您可以依赖替代数据或食物摄入数据(带有警告)。
    • 热效应可能会产生新的化合物;您必须评估原始调味料在电子烟条件(例如温度、线圈类型、载体基质)下是否稳定。
    • 累积暴露:某些调味剂可能具有累加效应,或共享代谢途径,因此暴露建模必须考虑总风味负荷,而不仅仅是单一化合物。
    • 消费者的可变性:不同的用户有不同的抽吸配置、设备类型、功率设置;所以场景建模应该包括“典型用户”、“高端用户”和“最坏情况用户”。
    • 易感人群:儿童、孕妇(如果相关)、患有肺部疾病的人可能会改变吸收/反应——记录您的产品是否仅供成人使用以及您如何处理。

    4.风险表征:综合危害和暴露

    清晰的流程图说明了评估电子烟调味品安全性的六步风险评估工作流程。该视觉框架涵盖范围、危害识别、暴露评估、风险特征描述、缓解和控制以及审查和监控,为电子烟行业的安全专业人员和研究人员提供全面的指南。

    六步风险评估模型

    在危害识别和暴露评估之后,我们进入风险特征描述:评估风险的过程可能性严重程度确定暴露情景下的不利影响,然后确定风险是可接受的、可容忍的(有控制的)还是不可接受的。

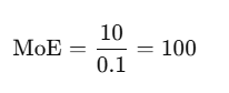
    4.1 暴露边际 (MoE) 和其他指标

    一个常见的风险指标是风险边际 (MoE):

    MoE 高表明风险较低; MoE 较低(例如,< 100 或 < 10,取决于不确定性)表明风险较高,可能会触发缓解措施。

    由于吸入数据通常有限,您可能需要应用额外的不确定因素 (UF)。例如,如果只有口服NOAEL,则应用吸入换算、种间UF、数据库UF等。

    4.2 决策标准:可接受、受控、不可接受

    定义内部阈值:

    • 可接受的风险:MoE 高于内部阈值,未识别危险标记,且暴露远低于参考水平。继续使用。
    • 风险可控:MoE 接近阈值或中等偏低;存在危险标志;仅进行控制(降低浓度、替代调味品、限制最终用途、增强质量保证)。
    • 不可接受的风险:MoE 太低,危险被强烈标记(例如,已知的肺部致敏剂),没有可行的缓解措施;拒绝成分或重新配制。

    4.3 调味品成分风险描述示例

    假设调味化合物 Y 的啮齿类动物吸入 NOAEL 为 10 毫克/公斤/天。您估计人类每日暴露量为 0.1 毫克/公斤/天(通过用户剂量模型)。然后:

    如果您对电子烟用调味剂的内部阈值是 MoE ≥ 300(因为吸入途径、消费者变异性、长期使用、气溶胶转化不确定性),则 MoE = 100 会触发“受控风险”:只有在降低浓度、添加额外控制措施或选择风险较小的替代品时,您才可以接受使用。

    4.4 纳入表征的其他因素

    • 累计曝光量具有相似危险类别的多种调味剂(例如多种醛)
    • 副产物形成:调味剂在加热过程中可能会降解成更危险的化学物质;如果您知道某种调味品会产生不可接受的副产品,即使母公司 MoE 是可以接受的,风险也可能会升级。
    • 设备影响:功率设置、线圈电阻、电子液体载体比率 (PG/VG) 可能会影响气溶胶分布和吸入剂量。
    • 用户变异性和误用:用户频繁抽吸、深吸气、亚欧姆设备可能会增加接触量。
    • 弱势群体:如果您的产品是由有呼吸问题的人使用,或者长期大量使用,您可以采用更保守的阈值。

    4.5 风险描述工作流程总结

    • 对于每种候选调味品,计算在定义场景(典型、高使用率)下的估计暴露量。
    • 比较暴露与参考毒理学值;计算 MoE 或等效指标。
    • 标记危险问题:已知的敏化剂、二酮的存在、热降解风险。
    • 将风险分类为可接受/受控/不可接受。
    • 记录决策的理由和所需的控制(如果有)。
    • 反馈到配方决策(降低浓度、更换调味品、调整设备指导)和供应链文档中。

    5. 缓解和控制:降低和管理风险的策略

    确定了风险特征后,下一个实际步骤是减轻和控制风险。风味设计师、制造商和下游电子烟油生产商可以在此实施具体步骤,以降低不利影响的可能性或严重程度,并确保监管和市场准备就绪。

    5.1 预先制定控制

    • 选择风险较低的调味品替代品:如果候选调味剂含有二酮(例如二乙酰)或已知的呼吸道致敏醛,请选择危险标记较少的替代品。例如,一些文献提倡对电子烟应用的调味品进行限制性清单。
    • 极限浓度:仅使用实现感官目标所需的最低功能浓度,而不是最大化风味负载。
    • 表征热稳定性:评估调味品在加热(设备相关温度)下的表现以及是否形成有害副产品;考虑使用 GC-MS 或其他分析方法进行验证。
    • 运营商优化:考虑PG/VG比例、其他添加剂(尼古丁盐、酸化剂)可能影响气雾化和化学反应性;相应地共同设计风味混合物。

    5.2 制造控制和质量保证

    • 使用风味级或蒸汽级成分:确保最高的纯度和最低的杂质水平;监测重金属、残留溶剂、不需要的异构体。
    • 供应商审核和文件记录:进行 MRL(最大残留限量)检查、分析证书 (CoA)、调味化学品的可追溯性。
    • 批量测试和稳定性:验证调味品性能和安全性在保质期内(储存、光照、加热)保持稳定。
    • 设备兼容性验证:虽然主要是设备制造商的责任,但请确保您的风味混合物在典型设备中进行测试,以验证气溶胶特征和不存在有害副产品。

    5.3 标签、用户说明和最终使用指南

    • 明确说明预期用途(例如“仅供成人使用”)、浓度限制、存储建议(远离儿童)和兼容性警告(线圈类型、功率设置)。
    • 包括质量保证和可追溯性信息以支持下游客户。
    • 向最终用户/OEM 合作伙伴推荐设备设置(例如,避免可能增加气溶胶温度和副产品形成的超高功率)和维护(线圈更换频率)。

    5.4 上市后监督和事件管理

    • 维护一个收集与气雾剂调味相关的消费者反馈、不良事件报告或质量投诉的系统。
    • 制定协议来调查任何可能与调味品相关的事件(例如,异常的喉咙刺激、设备故障、气溶胶气味/颜色变化)。
    • 设置何时重新评估调味品的触发阈值(例如,当新的毒理学数据出现、监管更新或重要的消费者报告频率时)。
    • 记录纠正措施程序:重新配制风味、撤回成分、调整使用水平、更新用户指南。

    6. 审查和持续监控:确保持续合规和改进

    风险评估模型不是一次性文件;一定是活的,随着数据、技术和法规的发展进行审查和更新。

    6.1 定期重新评估

    • 按规定的时间间隔(例如每年)重新审查危险档案:是否出现了调味剂化合物的新吸入毒理学数据?
    • 审查暴露假设:设备技术是否发生了变化(更强大的设备、更高的温度)从而增加了暴露?
    • 检查用户行为趋势:人口统计变化、吸烟模式、增加使用频率的新口味?
    • 评估监管变化:新的香料禁令、更新的最大限制、新的吸入安全指南(例如,请参阅监管机构对香料限制的关注)。

    6.2 数据管理和文档

    维护一个中央“风味安全主文件”,跟踪每种调味品/成分:

    • 危险档案详细信息
    • 曝光建模参数和结果
    • 教育部或风险分类决策以及实施的任何控制措施
    • 制造批次记录、QA/CoA 文档
    • 上市后反馈、事件日志
    • 审核日期和下次审核预定日期

    此类文件对于内部审计、客户查询、监管检查和尽职调查供应链透明度至关重要。

    6.3 持续改进和创新

    • 投资于生成内部数据:关键设备类型中风味混合物的气溶胶化学、副产品测量、用户接触研究(如果可行)。
    • 探索更安全的调味成分和混合物:推动适合吸入的调味化学,而不仅仅是摄入食品级。
    • 与研究机构、行业协会和监管机构合作,领先于新出现的问题(例如热降解化学、新调味品类别的长期吸入毒理学)。
    • 使用风险评估模型来支持营销主张(例如,“更安全的调味剂配方”、“为减少气溶胶副产品而设计”),只要这些主张得到证实且合规。
    清晰的数据可视化显示风险矩阵,该矩阵集成了危险级别和暴露参数,以确定电子烟调味品的总体风险分类(可接受、受控、不可接受)。该图表有助于理解电子烟油安全的定量风险评估流程。

    以下是图像的标题和 SEO 元素:

    7. 综合起来:模型工作流程总结

    以下是对如何在风味开发过程中实施实用风险评估模型的分步回顾:

    • 定义范围和背景:确定目标产品(电子烟油)、用户概况、设备类型、监管管辖范围。
    • 危险识别:建立风味成分档案,标记危险类别。
    • 暴露评估:模拟用户场景(典型与高使用)、摄入和吸入暴露。
    • 风险描述:计算 MoE 或其他风险指标,分类为可接受/受控/不可接受。
    • 缓解与控制:执行配方、制造、质量保证、用户指导和监督控制。
    • 审查和监控:定期重新评估、文档更新、持续改进。
    • 决策门:只有当风险分类在可接受/受控(有控制)范围内时,调味料才可以放行使用;否则需要重新制定或消除。

    8. 案例研究(匿名)

    为了说明该模型的实际应用,请考虑一个假设的风味混合开发场景:

    设想:您打算推出 50/50 PG/VG 盐-尼古丁系统的“热带水果和奶油”口味。

    第 1 步:范围

    • 目标消费者:成人电子烟用户,每天消费量不超过 2 mL。
    • 设备:20W 的 Pod 系统。
    • 司法管辖区:欧盟和美国。

    第 2 步:危险识别

    • 调味剂包括酯(丁酸乙酯)、内酯(γ-辛内酯)和香草衍生物(香草醛)。文献表明香草醛和乙基麦芽酚(类似类别)在吸入暴露下表现出细胞毒性。
    • 这些成分均不在已知的禁用清单中,但香草醛在高温下可能会降解为更具活性的醛。

    第 3 步:暴露评估

    • 浓度:酯 4 mg/mL、内酯 2 mg/mL、香草醛 3 mg/mL → 总调味剂约 9 mg/mL。
    • 每日使用:2 mL/天 → 质量 = 18 mg/天。
    • 吸入吸收分数假设为 0.5 → 9 毫克/天。
    • 体重 70 公斤 → 0.13 毫克/公斤-天。

    第 4 步:风险描述

    • 香草醛替代物的参考吸入 NOAEL(假设 20 毫克/公斤-天)。能源效率 = 20 / 0.13 ≈ 154。
    • 吸入的内部阈值 MoE:300 → 所以这低于阈值 → 分类为受控风险.
    • 标记:香草醛吸入危险+潜在降解→需要额外控制。

    第 5 步:缓解措施

    • 将香草醛浓度降低至 1.5 mg/mL,并用风险较低的替代品替代部分内酯。
    • 在 20 W 线圈上进行热稳定性测试,以验证反应副产物的形成可以忽略不计。
    • QA:内酯和酯的供应商CoA,确认USP/EP等级;检测重金属杂质。
    • 标签:“仅供成人使用”,建议设备设置 15-25 W,每 2 周更换一次线圈。
    • 上市后:跟踪消费者反馈、典型调味品性能。

    第 6 步:回顾

    • 六个月审查:检查是否出现类似内酯的任何新的吸入毒理学数据。
    • 相应地更新档案;如果消费者使用量增加(例如 3 mL/天),请重复暴露建模。

    通过遵循此工作流程,您可以实现一个记录在案的、可靠的风味混合物风险评估流程。

    9. 该模型的优势和商业价值

    采用这种风险评估模型为香料制造商和电子烟油配方设计师提供了显着的优势:

    • 加强监管准备:您建立与 FDA 等监管机构一致的结构化档案(FDA 将电子烟液香料作为 ENDS 组成部分进行监管)
    • 减少责任并提高安全性:系统性危害筛查和暴露模型有助于避免引入具有不可接受风险的调味剂。
    • 供应链透明度:通过记录调味品危害/暴露概况和控制措施,您可以提高客户信心和可审核性。
    • 竞争优势:经过严格安全评估的香料供应商被电子烟油制造商和零售商视为优质、低风险的合作伙伴。
    • 创新赋能:通过结构化模型,您可以更快速地评估新的风味化学机会,最大限度地缩短上市时间,同时保持安全标准。

    10. 总结和要点

    • 在当今的监管和消费者安全环境中,电子烟调味品的专用风险评估模型至关重要。
    • 该模型包括六个阶段:范围→危害识别→暴露评估→风险特征描述→缓解和控制→审查和监测。
    • 调味成分可能会造成与其食品级(摄入)状态不同的吸入风险;需要专业的尽职调查。
    • 暴露建模必须反映现实的使用场景;吸入途径需要特别注意。
    • 使用 MoE(或类似指标)进行风险表征可以实现可操作的决策门(可接受/受控/不可接受)。
    • 缓解策略涵盖配方选择、制造和质量保证控制、用户说明和上市后监督。
    • 持续监控可确保您领先于设备技术、用户行为或监管更新的变化。
    • 对于香料供应商和电子烟油制造商来说,这种模式增强了产品安全性、法规遵从性和商业可行性。

    翠拐调味瓶

    打电话给行动

    如果您想讨论技术交流, 免费样品评估,或了解我们的香料公司如何通过完全合格、适合吸入的调味混合物来支持您的电子烟油项目 - 请联系我们。

    🌐网站[www.cuiguai.c无论]

    💬Whatsapp:[+86 189 2926 7983]

    📩电子邮件:[信息@cuiguai.com]
    📞 电话:[+86 0769 8838 0789]

    我们期待与电子烟油香精领域有远见的合作伙伴合作。

    长期以来,公司一直致力于帮助客户提高产品档次和风味品质,降低生产成本,定制样品,满足不同食品行业的生产加工需求。

    联系我们

  • Guangdong Unique Flavor Co., Ltd.
  • 电报:+86 189 2926 7983info@cuiguai.com
  • 广东省东莞市道滘镇滨永南阁东一路16号C栋701室
  • 关于我们

    经营范围包括许可项目:食品添加剂生产。一般项目:食品添加剂的销售;日化产品制造;日化产品销售;技术服务、技术开发、技术咨询、技术交流、技术转让、技术推广;生物饲料研发;工业酶制剂研发;化妆品批发;国内贸易代理;卫生用品和一次性医疗用品的销售;厨具、卫生洁具及日用品零售;日用品销售;食品销售(仅限预包装食品的销售)。

    版权 ©Guangdong Unique Flavor Co., Ltd.保留所有权利。隐私策略

    发送询问
    微信

    请求查询